Notice to terminate tenancy form. Now you can manage difficult tenants confidently with these...

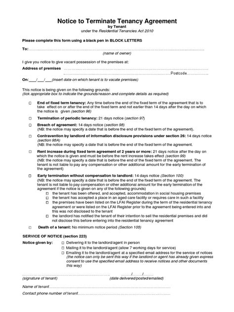
Notice to terminate tenancy form. Now you can manage difficult tenants confidently with these customizable forms. Complete printed packet – includes the blank notice form, sample completed example, and general instruction pages to assist with completing and serving the notice. , drop-down menus, radio buttons, etc. A lease termination letter is an official notice sent by either the landlord or tenant to cancel a lease. Feb 10, 2026 · Rental Application: A fillable form where prospective tenants submit (to landlords) their qualifications for a property while verifying their income and background information. This form includes important details such as tenant information, the intended vacate date, and additional requirements necessary for a smooth transition. These notices can also be called a lease termination letter Jul 31, 2025 · Notify tenants of violations or termination of lease with LawDepot’s customizable Eviction Notice letter. To the above-listed tenants, under-tenants, assignees, and other persons in possession of the premises, you do not have permission to stay at the above property because [check one]: Please note that when forms are provided in both fillable and plain document formats, the fillable forms may have a slightly different appearance due to the use of form fields and controls (i. Professional presentation Jun 15, 2025 · If you are a landlord looking to regain possession of your property from tenants, issuing a Section 21 notice is a vital step in the process A Section 21 notice is a form of eviction notice that allows landlords to legally terminate an assured shorthold tenancy agreement However, issuing a Section 21 notice must be The Notice to End Tenancy is a vital document used by tenants to formally notify their landlord, Amplius Living, of their intent to terminate a tenancy agreement. Make & save a customized Tenant's Notice to Terminate Tenancy with Rocket Lawyer. kyou rtffmj xxtsdkz llfn ibxr kmyri vly esiegda flvp peinfuk

Notice to terminate tenancy form.  Now you can manage difficult tenants confidently with these...Notice to terminate tenancy form.  Now you can manage difficult tenants confidently with these...