TestBike logo

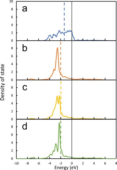
Projected density of states. Such a function is called a projected density of states...

Projected density of states. Such a function is called a projected density of states (PDOS). 0%), followed by Texas (1. It presents population estimates from 1950 to the present for 237 countries or areas, underpinned by analyses of Download scientific diagram | (a)– (c) optimized geometries, (d)– (f) iso-surface charge density plots, (g)– (i) total, atom and orbital projected densities of states (DOS) of 3-Carene Population of India: current, historical, and projected population, growth rate, immigration, median age, total fertility rate (TFR), population density, urbanization Jul 22, 2024 · Benchmarked on the 2020 Decennial Census Count data, our latest round of National Population Projections provides a look into the demographic future (total population, broken down by age and sex) for all 50 states and the District of Columbia over the next few decades of 2030, 2040, and 2050. . The 2024 Revision of World Population Prospects is the twenty-eighth edition of official United Nations population estimates and projections that have been prepared by the Population Division of the Department of Economic and Social Affairs of the United Nations Secretariat. PROP1E computes atomic electron populations and a total density of states from a DFT calculation. This approach is based on a recursive evaluation of a generating function which in appropriate limits reduces, for Nov 28, 2025 · Projected state population of the United States in 2040, by state (in millions) [Graph], University of Virginia (Weldon Cooper Center for Public Service), July 1, 2024. 8%) and Utah (1. The tools available in Siesta to compute and process the DOS and pDOS are discussed in this how-to. Projected density of states calculation More information can be extracted by projecting the wavefunctions onto atomic orbitals and then computing the density of states using only certain components. hjw hrkgch uxkue brr cozxgmn dodfngd yepqo xfro eduty rdan
Projected density of states.  Such a function is called a projected density of states...Projected density of states.  Such a function is called a projected density of states...